La
pérdida de carga que tiene lugar en una conducción representa la pérdida de
energía de un flujo hidráulico a lo largo de la misma por efecto del
rozamiento. A continuación se resumen las principales fórmulas empíricas empleadas
en el cálculo de la pérdida de carga que tiene lugar en tuberías:
DARCY-WEISBACH (1875)
Una de las fórmulas más exactas para cálculos hidráulicos es la de Darcy-Weisbach. Sin embargo por su complejidad en el cálculo del coeficiente "f" de fricción ha caído en desuso. Aún así, se puede utilizar para el cálculo de la pérdida de carga en tuberías de fundición. La fórmula original es:
| ECUACIÓN 16.FORMULA DE DARCY -WEISBACH |
En función del caudal la expresión queda de la siguiente forma:
| ECUACIÓN 17. FORMULA EN FUNCIÓN DEL CAUDAL |
En donde
h: Perdida de carga o energía(m)
f: Factor de friccion ( adimensional)
L:Longitud (m)
D:Diametro
V:Velocidad
g:Aceleracion de la gravedad (m/s2)
Q:caudal
el coeficiente de fricción f es función del numero de Reynolds (Re) y del coeficiente de rugosidad o rugosidad relativa de las paredes de la tubería.
Q:caudal
el coeficiente de fricción f es función del numero de Reynolds (Re) y del coeficiente de rugosidad o rugosidad relativa de las paredes de la tubería.
| ECUACIÓN 18. COEFICIENTE DE FRICCIÓN EN FUNCIÓN DE OTROS PARÁMETROS |
ρ: densidad del agua (kg/m3).
μ: viscosidad del agua (N�s/m2).
ε: rugosidad absoluta de la tubería (m)
En la siguiente tabla se muestran algunos valores de rugosidad absoluta para distintos materiales:
RUGOSIDAD
ABSOLUTA DE MATERIALES
|
||||
Material
|
ε
(mm)
|
Material
|
ε
(mm)
|
|
Plástico
(PE, PVC)
|
0,0015
|
Fundición
asfaltada
|
0,06-0,18
|
|
Poliéster
reforzado con fibra de vidrio
|
0,01
|
Fundición
|
0,12-0,60
|
|
Tubos
estirados de acero
|
0,0024
|
Acero
comercial y soldado
|
0,03-0,09
|
|
Tubos
de latón o cobre
|
0,0015
|
Hierro
forjado
|
0,03-0,09
|
|
Fundición
revestida de cemento
|
0,0024
|
Hierro
galvanizado
|
0,06-0,24
|
|
Fundición
con revestimiento bituminoso
|
0,0024
|
Madera
|
0,18-0,90
|
|
Fundición
centrifugada
|
0,003
|
Hormigón
|
0,3-3,0
|
|
TABLA 2. valores de rugosidad absoluta para distintos materiales
Para el cálculo de "f" existen múltiples ecuaciones, a continuación se exponen las más importantes para el cálculo de tuberías:
A. Blasius (1911). Propone una expresión en la que "f" viene dado en función del Reynolds, válida para tubos lisos, en los que εr no afecta al flujo al tapar la subcapa laminar las irregularidades. Válida hasta Re < 100000:
B. Prandtl y Von-Karman (1930). Amplían el rango de validez de la fórmula de Blasius para tubos lisos:
C. Nikuradse (1933) propone una ecuación válida para tuberías rugosas:
| ECUACIÓN 21. FORMULA PROPUESTA POR NIKURADSE |
D. Colebrook-White (1939) agrupan las dos expresiones anteriores en una sola, que es además válida para todo tipo de flujos y rugosidades. Es la más exacta y universal, pero el problema radica en su complejidad y en que requiere de iteraciones:
E. Moody (1944) consiguió representar la expresión de Colebrook-White en un ábaco de fácil manejo para calcular "f" en función del número de Reynolds (Re) y actuando la rugosidad relativa (εr) como parámetro diferenciador de las curvas:
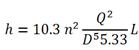
MANNING (1890)
Las ecuaciones de Manning se suelen utilizar en canales. Para el caso de las tuberías son válidas cuando el canal es circular y está parcial o totalmente lleno, o cuando el diámetro de la tubería es muy grande. Uno de los inconvenientes de la fórmula es que sólo tiene en cuenta un coeficiente de rugosidad (n) obtenido empíricamente, y no las variaciones de viscosidad con la temperatura. La expresión es la siguiente:
h: pérdida de carga o de energía (m)
n: coeficiente de rugosidad (adimensional)
D: diámetro interno de la tubería (m)
Q: caudal (m3/s)
L: longitud de la tubería (m)
El cálculo del coeficiente de rugosidad "n" es complejo, ya que no existe un método exacto. Para el caso de tuberías se pueden consultar los valores de "n" en tablas publicadas. Algunos de esos valores se resumen en la siguiente tabla:
COEFICIENTE
DE RUGOSIDAD DE MANNING DE MATERIALES
|
||||
Material
|
n
|
Material
|
n
|
|
Plástico
(PE, PVC)
|
0,006-0,010
|
Fundición
|
0,012-0,015
|
|
Poli�ster
reforzado con fibra de vidrio
|
0,009
|
Hormigón
|
0,012-0,017
|
|
Acero
|
0,010-0,011
|
Hormigón
revestido con gunita
|
0,016-0,022
|
|
Hierro
galvanizado
|
0,015-0,017
|
Revestimiento
bituminoso
|
0,013-0,016
|
|
TABLA 3. COEFICIENTE DE RUGOSIDAD PARA MATERIAS DE MANNING
HAZEN-WILLIAMS (1905)
El método de Hazen-Williams es válido solamente para el agua que fluye en las temperaturas ordinarias (5 ºC - 25 ºC). La fórmula es sencilla y su cálculo es simple debido a que el coeficiente de rugosidad "C" no es función de la velocidad ni del diámetro de la tubería. Es útil en el cálculo de pérdidas de carga en tuberías para redes de distribución de diversos materiales, especialmente de fundición y acero:
En donde:
h: pérdida de carga o de energía (m)Q: caudal (m3/s)
C: coeficiente de rugosidad (adimensional)
D: diámetro interno de la tubería (m)
L: longitud de la tubería (m)
En la siguiente tabla se muestran los valores del coeficiente de rugosidad de Hazen-Williams para diferentes materiales:
COEFICIENTE
DE HAZEN-WILLIAMS PARA ALGUNOS MATERIALES
|
||||
Material
|
C
|
Material
|
C
|
|
Asbesto
cemento
|
140
|
Hierro
galvanizado
|
120
|
|
Latón
|
130-140
|
Vidrio
|
140
|
|
Ladrillo
de saneamiento
|
100
|
Plomo
|
130-140
|
|
Hierro
fundido, nuevo
|
130
|
Plástico
(PE, PVC)
|
140-150
|
|
Hierro
fundido, 10 años de edad
|
107-113
|
Tubería
lisa nueva
|
140
|
|
Hierro
fundido, 20 años de edad
|
89-100
|
Acero
nuevo
|
140-150
|
|
Hierro
fundido, 30 años de edad
|
75-90
|
Acero
|
130
|
|
Hierro
fundido, 40 años de edad
|
64-83
|
Acero
rolado
|
110
|
|
Concreto
|
120-140
|
Lata
|
130
|
|
Cobre
|
130-140
|
Madera
|
120
|
|
Hierro
dúctil
|
120
|
Hormigón
|
120-140
|
|
TABLA 4.COEFICIENTES DE HAZEN WILLIAMS
BIBLIOGRAFIA
1. HAZEN-WILLIAMS (1905) , MANNING (1890), D. Colebrook-White , C. Nikuradse ,B.Prandtl y Von-Karman ,A. Blasius ,DARCY-WEISBACH (1875) EN : http://www.scribd.com/doc/52355465/22/TUBERIA-SIMPLE


Es un gran resumen.
ResponderEliminar